Equação da pizza perfeita é descoberta por físicos da Itália

Físicos italianos criaram a equação da pizza perfeita. O mais incrível é que para produzi-la basta apenas um forno elétrico caseiro.
E como colocar uma pizza crua em forno convencional costuma produzir maus resultados, eles pensaram em usar a magia da ciência, fazer um forno caseiro e produzir a mesma maravilha culinária feita no forno à lenha.
Os físicos escolheram como modelo de “perfeição” uma clássica pizza Margherita, sabor tradicionalmente italiano, que inclui tomate, mussarela e manjericão – reza a lenda, aliás, que as cores dos ingredientes representam o vermelho, branco e verde da bandeira da Itália.
Forno à Lenha?
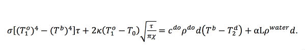
O segredo está na temperatura do forno. Cada material, por natureza, possui um coeficiente de condutividade próprio (representado pela letra k).
E a chave da diferença está aí: os tijolos de fornos de pizza transferem calor muito mais lentamente para a massa que o aço dos fornos comuns, pois o metal possui uma condutividade muito maior do que a argila.
O que a equação resume são as condições para que um forno convencional imite um forno de tijolos tradicional de pizza. É tudo uma questão de equilibrar tempo e calor.
Para uma pizza simples como a Margherita, o equivalente a passar 2 minutos em um forno à lenha de 300 ºC é ser aquecido no forno elétrico por 170 segundos (2min50s) a 230 ºC.
O sabor não vai ficar 100% igual, pois a fumaça da lenha e o calor seco também afetam o paladar.
Mas, pelo menos para a termodinâmica, a equação fornece temperatura e tempo ideais para qualquer receita de pizza.
Recheios mais complexos e com mais teor de água como vegetais, por exemplo, vão resultado em tempos mais longos de cozimento.
O estudo
Eles observaram pizzaiolos experientes cozinhando e, depois de tanto estudo, produziram o artigo científico “A Física de Cozinhar uma Boa Pizza”.
Ele foi publicado na Cornell Library pelos físicos Andrey Varlamov do Instituto de Supercondutores, Óxidos e Outros Materiais Inovadores e Dispositivos de Roma, Andreas Glatz da Northern Illinois University e um antropólogo alimentar, Sergio Grasso, um autor e cineasta de Roma.
A conclusão pode ser resumida em uma única expressão matemática: a Equação Termodinâmica da Pizza Perfeita quase incompreensível de se ver, mas entendível.
Veja a equação que eles descobriram. É claro que você não vai precisar saber disso, já que descobriu o segredo:
Com informações da Super
Espalhe notícia boa nas suas redes sociais. Siga o SNB no Facebook, Twitter, Instagram e Youtube

Começa Restaurant Week edição Copa do Mundo; menu completo a partir de R$ 59,90
Carnaval 2026: Google mostra as cidades mais procuradas por turistas neste ano
Implosão de prédio histórico de Brasília será transmitida ao vivo neste domingo
Brasileiro mostra marmita que esquenta sozinha, sem microondas, e custa 4 reais; vídeo
Acordo Mercosul-UE: vinhos vão ficar até 27% mais baratos; veja o top 10
Açaí é reconhecido por lei como fruta brasileira; contra biopirataria
Bombeira se aposenta, ganha homenagem e se emociona: “hora de cuidar de mim”; vídeo
Começa Feirão Limpa Nome; veja onde negociar dívidas com 99% de desconto
20 anos sem Gisberta, a brasileira que virou música e obrigou Portugal a combater a transfobia
Criança interrompe missa com gatinho e pede para o padre abençoar o felino; vídeo
Autista, filha de doméstica e pai analfabeto, é aprovada em Medicina: “quebra de ciclo histórico”
Desconhecidos recolhem refrigerantes derramados na pista, devolvem ao motorista e vídeo bate 7 milhões